Článek
Babišovu kandidátovi na ministra životního prostředí Filipu Turkovi se podařilo dodatečně zlegalizovat dvě černé stavby, které v uplynulých dvou letech vyrostly na jeho na zahradě v pražské Dubči.
Lokalita je přitom součástí přírodního parku Říčanka a na tamních pozemcích se až na výjimky stavět vůbec nesmí. Turkovy stavby, na něž dříve opakovaně upozornily Seznam Zprávy, jsou však už téměř hotovy.
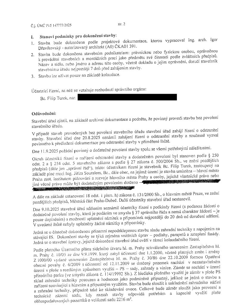
Jak nyní redakce zjistila, stavební úřad Městské části Praha 15 Turkovi nejdříve 6. listopadu dodatečně povolil kompletní přestavbu a rozšíření původní malé dřevěné zahradní chaty. Následně 11. listopadu povolil i sousední novostavbu. Ta vypadá jako dvougaráž, ale přítomní řemeslníci i politik sám v červenci pro Seznam Zprávy mluvili o moštárně.
I kladný verdikt úřadu z listopadu se opírá o Turkovo tvrzení, že oba objekty budou sloužit ke zpracování ovoce z přilehlého sadu. Plyne to z obou rozhodnutí o dodatečném povolení Turkových černých staveb, které získala redakce na vyžádání podle informačního zákona.
Sám Turek se k aktuální situaci a svým dalším plánům nevyjádřil. Naposledy pro Seznam Zprávy v srpnu uvedl, že případ řeší pouze jeho právníci. „Nemám čas ani prostor se tomu věnovat,“ uvedl tehdy.
Bude přestupkové řízení, hrozí pokuta
Z odpovědí zmíněného pražského úřadu také vyplývá, že přední politik nové Babišovy vládní koalice, může teď být kvůli nelegální výstavbě potrestán pokutou v rámci přestupkového řízení.

Takto zaznamenali reportéři Seznam Zpráv nepovolenou stavební činnost na Turkově pozemku už v červnu 2024. Původní malá zahradní chata byla kompletně přestavěna a rozšířena. Údajně teď bude Filipu Turkovi sloužit jako „sadařský domek“. I přístřešek s manipulační plochou má být dle projektu využíván ke skladování ovoce.
„Stavební úřad shledal, že obě stavby byly provedeny v rozporu se stavebními zákony, to jest bez příslušných opatření, čímž se stavebník dopustil přestupku proti stavebnímu řádu, který bude předmětem přestupkového řízení,“ stojí v odpovědi, pod kterou je podepsán Aleš Cejnar, tajemník Úřadu městské části Praha 15.
Nový stavební zákon, podle něhož se řeší druhá z popsaných staveb (u první Turek ještě stihl řízení podle benevolentnějšího starého zákona), výrazně zpřísňuje sankce za černé stavby.
Podle paragrafu 302 může nyní stavební úřad uložit fyzické osobě pokutu až 2 miliony korun a podnikateli nebo právnické osobě až 4 miliony, a to i tehdy, pokud byla stavba později dodatečně povolena. Záleží i na tom, nakolik stavebník spolupracuje na nápravě nelegálního stavu.
Sadařský domek s balkonem
Turkovo tvrzení, že staví v Dubči moštárnu, bylo vtěleno i do dodatečně předložené dokumentace stavebního projektu, kterou vyhotovil architekt Igor Dřevíkovský.
Záměr předního motoristy je v přiložených stanoviscích dotčených orgánů a v rozhodnutí stavebního úřadu popsán tak, že původní dřevěná zahradní chata (nyní zděná, dvoupodlažní a s balkonem) má po kompletní přestavbě sloužit jako „sadařský domek“ pro výrobu ovocného moštu a zavařenin z přilehlého sadu. Druhý Turkův objekt bude údajně skladem zahradní techniky.
„Oba objekty budou sloužit pro práci v sadu, pro skladování a zpracování výpěstků sadu,“ stojí v rozhodnutí stavebního úřadu. I krytá „manipulační plocha“ má údajně sloužit k nakládání s ovocem.

Takto je v dodatečně vydaném povolení k sadařskému domku popisován celý Turkův investiční záměr.
Stavebník Turek zároveň slíbil, že ve svém sadu rozléhajícím se na více než 2 tisících metrech čtverečních nově vysadí 4 kusy třešní, 8 švestek a 18 jabloní.
S ohledem na schválený stavební záměr bylo úředníky odsouhlaseno i vynětí 765 metrů čtverečních ze zemědělského půdního fondu.

Snímek z července 2025: Vedle již přestavěné chaty řemeslníci bez povolení dokončují další objekt. Podle oficiálních dokumentů má sloužit jako sklad zahradní techniky. V některých stanoviscích se o něm ale píše pouze jako o garáži.
I přes poslancovy bohulibé plány v oblasti ovocnářství obsahují dokumenty i zmínky o tom, že by chata s hygienickým zázemím měla sloužit i jako objekt pro rodinnou rekreaci, přístřešek zase pro stání aut. A pro parkování automobilu má být místo i ve zmíněném skladu zahradní techniky, o němž se některé dokumenty (třeba stanovisko hygieniků) zmiňují pouze jako o garáži.
Bezva finta?
Kdyby poslanec Motoristů Turek, známý mimo jiné renovací automobilových veteránů, chtěl v Dubči stavět cokoliv jiného, neměl by vůbec šanci.
Jeho zahrada je totiž podle stále platného územního plánu hlavního města umístěna v nezastavitelném území.
Jak je v dokumentech získaných redakcí opakovaně zmíněno, dubečský pozemek může sloužit pouze pro pěstební využití – jako sad, zahrada či vinice. I případné stavby tomu musí odpovídat, třeba nový rodinný dům zde vyrůst nemůže.

Toto se píše v dodatečném povolení Turkova „skladu zahradní techniky“. Stavební úřad došel k závěru, že politikův ovocnářský projekt je pro tuto oblast, kde se téměř nic stavět nesmí, přípustný.
Strach ze zdražování
Filip Turek, který v čerstvém majetkovém přiznání vypočítal svůj majetek na zhruba 70 milionů korun, zdůvodňuje před úřady své ignorování stavebních předpisů potřebou šetřit.
Měsíc poté, co Seznam Zprávy na konci loňského července upozornily na blížící se dokončení už druhé černé stavby, dostavil se na stavební úřad politikův zástupce a popsané chování ospravedlňoval obavami majitele ze zdražování.
Turkovy údajné miliony:
„Vlastník stavby (Filip Turek) měl v dobré víře za to, že uvedená stavba bude zlegalizována a s ohledem na růst cen na trhu se stavebními materiály a prací řemeslníků se rozhodl stavbu skoro dokončit,“ stojí v zápisu z ústního jednání, které proběhlo loni v srpnu. Jméno Turkova zástupce je pak v inkriminované pasáži začerněno.
V září pak Turek i u této druhé stavby požádal o dodatečné stavební povolení, které nyní získal. Několikaměsíční řízení o odstranění obou nelegálních staveb skončilo.

Příběh s Turkovou moštárnou žije v Dubči svým vlastním životem. Před říjnovými sněmovními volbami se u vstupu na poslancův pozemek objevila reklamní plachta, která lákala na levnou a rychlou výrobu ovocných šťáv. Šlo patrně o výtvor některého z recesistů, kontaktní telefony byly na funkcionáře motoristů. Jak Seznam Zprávy zjistily, před koncem loňského roku zase někdo u vjezdu složil pytle s jablky.
















